爱德思考试局Alevel10月大考正在进行中~同学们考的如何?对于本次考试,已经考过的数学P1都考了什么内容呢?考试结束后机构A+中心的刘老师已将真题答案与考点考情分析附上!快来对对答案吧!
Alevel数学P1
第一题:

考点:根式化简和分母有理化
难度分析:属于基础题型,考察了计算和化简。但是对学生的词汇量有一定要求,需要认识equilateral triangle以及right-angled isosceles这样的词汇,以便于从题目的条件中列出方程式。
第二题:

考点:求导数和不等式求解
难度分析:属于基础题型,没有任何难度
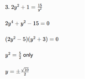
第三题:

考点:换元法求解二次方程
难度分析:属于基础题型,考察的是计算的能力,易错点在于最后根的取舍
第四题:

考点:斜率和直线方程
难度分析:属于基础题型,考察的是直线方程斜率和计算已经互相垂直的定义,易错点在于计算的失误和公式的遗忘。
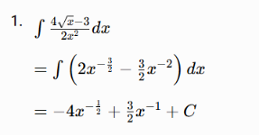
第五题:

考点:不定积分的计算
难度分析:属于基础题型,考察的是求不定积分的纯计算,易错点在于幂函数的化简以及最后要记得加C。
第六题:

考点:二次函数根的判别式
难度分析:属于基础题型,考察了判别式的应用以及计算能力,易错点在于多项式的展开和化简容易出错,需要小心仔细。
第七题:

考点:弧度制,扇形、弧形面积周长,余弦定理
难度分析:属于基础题型,考察了对应公式的理解和应用,易错点在于余弦定理的使用和公式的掌握,计算的时候需要小心仔细。
第八题:


考点:直线求交点,以及函数的transform
难度分析:属于基础题型,考察了对于直线方程求交点的计算过程和应用,易错点在于函数关于y轴的拉伸,需要做到理解性记忆并在图上标出对应点的变化。这道题属于16年5月C12的真题第14题100%一致,连数据都没改变。在我们的练习册V1.0也有练习到。原题如下:

第九题:

考点:导数的应用,法线的求解,不定积分求原函数
难度分析:属于基础题型,考察了微积分知识的综合应用,易错点在于对导数、切线法线的理解,比如题上直接给了一阶导的函数,可以用它直接得到对应点切线的斜率,然后再求法线的斜率以及方程。最后求解原函数的时候需要算出来C的具体值。
第十题:


考点:二次函数、三次函数图像画法,以及联立求解
难度分析:属于基础题型,考察了对于三次二次函数图像的理解和画法,后面的联立计算需要小心仔细,最后还需要化简成最简根式,读题需仔细。这道题与2017年1月的C12考题中的第13题80%一致,只是改了下数据。原题如下:

综合分析:

本次P1考试的还是较为基础的,难度中等偏下,需要注意平时基础题型的练习,还有计算能力的提升,后续可以考虑多关注下旧考纲的真题,本次直接出现了数据未改的原题。

