MS基于 EMG 肌肉电传感器的长续航假肢设计
项目分类:工程技术/物理学/机器人技术
项目描述01Project Background
目前全球残障人士大约有6.5 亿人,占总人口的 10%。而所有残障人士中,肢体残疾的比例大约在30%-40%,也就意味着全世界大约有3亿名肢体残疾的人。因此,假肢在恢复残障人士的生理功能、心理功能方面具有十分重要的作用。
目前传统的假肢中绝大多数只有外观保持和支撑的作用,很难实现功能性(抓、握 等),其核心原因是人主要依靠神经传递和肌肉驱动肢体以输出控制信号,所以当失去关键肢体后,就无法准确输出控制信号到外界设备。

通过对生物体的研究,即使是肢体残疾的人,其肢体肌肉也并未完全萎缩。当人脑输出抓、握等信号时,手臂上的肌肉依然可以控制手掌肌腱的肌肉进行收缩,而肌肉收缩会释放比神经电信号大若干数量级的电信号,这是开展本项目研究的基础。
同时,针对传统机械手的耗电量大、续航短的问题,本项目尝试从能量管理的角度进行改进,通过使用太阳能等能源,让机械手的续航能力得到长足提升。
本项目应用场景包括长续航假肢设计、康复治疗等。
项目目标02Project objective
(1)理解机电假肢的工程原理
学生将掌握机电假肢的工程原理和设计基础。 学习重点包括假肢的力学结构、动力传递系 统以及控制系统。

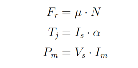
力学分析涉及力和力矩的 计算,例如假肢的重量分布、关节扭矩的平 衡,以及电机产生的驱动力。计算公式如下:

其中,Fr 是假肢在运动中遇到的阻力,µ 是摩擦系数,N 是正常力;Tj 是关节所 需的扭矩,Is 是假肢段的转动惯量,α 是角加速度;Pm 是电机的功率输出,Vs 是 电源电压,Im 是电机电流。
(2)EMG 肌电信号的识别和应用
研究如何有效地捕捉肢体运动的 EMG 信号,并将它们转换为控制假肢的命令,以 实现更自然和准确的运动控制。

项目收获03Project achievement
本项目在物理、数据分析、编程和专业写作方面提供了多项技能提升
- 巩固学科知识点物理–电磁学 数理统计–参数估计
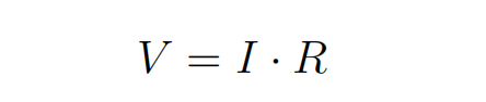
将电磁学原理应用到基于 EMG 肌肉电传感器的长续航假肢设计中,例如,假肢的 控制系统可以表示为:

其中 V 是传感器检测到的肌肉电信号电压,I 是流经肌肉纤维的电流,R 是肌肉 纤维的电阻。通过优化传感器的信号放大和滤波设计,可以提高假肢控制系统的 灵敏度和响应速度。
- 实物模型制作基于 EMG 和能量管理设计长续航假肢的实物模型
- 深度参与编程实践使用专业编程语言实现长续航假肢的设计
- 掌握 LaTex 写作学习掌握国际通用的科技写作软件 LaTex
历史学生案例04ExamplesF同学
成都石*国际部|牛津大学机械工程专业
因为小学有参加过机器人竞赛的经历,而且也计划后期就读机械工程的方向。所以跟老师商议后,决定开展水下机器人水下机器人的科研项目对,这段经历不仅让我更直观的了解了工程学相关的知识,也可以说是我拿到牛津offer最直接的助力。
X同学
成都*德国际部|德州农工大学
我进行科研项目不仅仅是因为物理ee要求学生进行自主实验,更因为我对我的项目(空气动力学)抱有极大的兴趣。
很早之前我就有过想要做飞行器简易研究的想法,但是苦于缺乏机会,而ee给了我一个完美的时机。在我做科研的过程中,学到新的物理学知识是必然的,然而我认为更重要的是动手能力。
因为我计划后期继续在工程方面发展,科研项目让我有机会自己动手设计,制作,组装和运行我的项目。
添加「科研项目客服」扫码获取更多科研项目内容
可选课题方向

