参加SPC物理竞赛不仅是证明个人物理水平的绝佳机会,更是通往BPhO(英国物理奥林匹克竞赛)的重要通道。由于BPhO官方报名名额有限,且优先分配给在SPC/IPC竞赛中获奖的学生,剩余名额才会向普通报名者开放。
因此,对于有意备考BPhO的同学来说,通过参加SPC/IPC并获得奖项,不仅能显著提高BPhO报名成功的几率,更能帮助评估自身实力,判断是否适合投入后续更高难度的竞赛准备。采取这一路径,可谓为你的BPhO参赛之路上了“双保险”~
SPC学什么
上期我们主要介绍了SPC竞赛中对运动学、动力学的考察,本期我们接着往后盘点。
5.动量
除了要求掌握动量,弹性碰撞、非弹性碰撞等常见内容,还有个别在课内接触较少的知识,比如流体运动产生的力,如下:

大家在课内学到的冲击力基本都是小球和墙壁碰撞,根据动量定理,如果知道了动量的变化以及碰撞的时间,就可以求出碰撞时的冲击力。对于流体,推导形式类似,如下,我们可以先做出图像:

其中空气的流速为v,空气撞击到小球上产生的力可以这么写:

其中△v是△t时间间隔内,流经的空气的体积,我们考虑小球的截面积为A,那么体积可以表示成Av△t, 最后化简即可得出表达式。我们并不期待大家第一次看到这种题目就知道怎么去推导,只是想传达这样的理念,这些题目都是非常经典的类型,课内学到了或者课外积累了,那么考场上就可以秒选,否则现场推导,那变故就大了。
接着我们再看对转动的考察,这里有不少题目考到了转动平衡的概念,如下:


学生应掌握平衡的条件:合力为零以及合力矩为0,以及如何列出方程求解。上述两题为常见的类型,列出竖直方向的受力平衡,以及选择一个转轴列出力矩平衡即可求解。
另外一种类型与几何构造有关,如下:

一个长方体放在斜面上,如果摩擦力足够大不往下滑,那么夹角多少的时候物体会发生翻倒?我们这里直接给出结果:物体的质心和转轴在同一竖直线上。这个结论也不是大家能够在考场现推导出的,但其实在IG阶段的学习中已经有所涉及。
对于A Level体系的学生,往后的数学或者进阶数学课程会再次学到相关的内容,因此如果大家能够准备好SPC的内容,对今后的学习也是大有裨益。
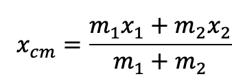
还有一种类型的题目和质心相关,考到了质心位置的计算以及平衡问题:

如上,本道题用到了公式:

代入质量、坐标等数据即可求解。
下面这道题考到了质心运动定理,学生应知道质心加速度的计算公式才能往后分析,还是略有难度,对大家的课外积累要求稍高。

6.流体
这一块笔者认为有一定的难度,因为覆盖比较全面,既有压强、浮力这种常规考点,也有连续性方程、帕斯卡原理等细致的考察,还有一些经典却不过时的竞赛类题目。

如上,冰块里有石头,当冰块融化的时候,水面的高度怎么变化?本题看似简单,实则对浮力的考察已经很高了,学生如果简单认为冰块融化,水面就会增高,那就很肤浅,因为冰块所受的浮力和排开的水的体积亦有关。此外还要加上小石头的影响,这个就非常类似这种表述:鸡浮在水面上,如果下了一个蛋,那么水面的高度怎么变化?
源于生活情景,非常考验大家运用物理原理解释生活现象的能力。这里我们不详细讲解其求解方法,感兴趣的小伙伴可以先思考一下,然后借用任何一种AI工具即可得到正确的结果。
不仅如此,还有些题目综合性高,细节不注意到那做题就会出错,比如下题:

问浮力的变化,许多同学知道浮力和排开的水体积有关,如果对于一个已经在水里的物体,不管怎么移动,受到的浮力保持不变。但对于本题的气球,还要考虑变形的事情,越往下走,流体压强越大,那么气球体积越小,从而所受浮力越小。
再往后,是关于振动的考察,学生应当掌握弹簧物块系统、单摆的周期公式,以及相关的运动学和能量的分析。


如上,考察内容很常规,难度较小。
7. 光学部分
有反射、折射、色散、全反射等概念的涉及,如下:

计算并不困难,做出下图,从几何关系列出三角函数,可以一步求解。

个别题目考察的内容属于竞赛常客,比如下面这道题:

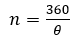
考察成像有多少个,学生如果在考场上一个一个去画,很难得出正确结果,所以还是依赖课外的积累。考虑一个简单情况,两面镜子呈直角,一个物体放于角平分线上,那能成多少个像?

从图中可看出,有四个像。大家由此可以推断出成像个数与角度的关系
,其中θ=90°。 那么对于前面的题目,现在角度是15度,代入公式,可得n=24。
结语
这种问题大家不应期待能在考场上顺利解答,笔者在你们这个年纪的时候也不会,只能说学海无涯,平时好好积累,日后万一派上用场呢?
