根据最新数据,2023 年,日本的国际学生数量同比增长了 20% 以上,这促使人们对政府雄心勃勃的国际化战略持乐观态度。
由日本学生服务组织(Japan Student Services organization,JASSO)于 2024 年 5 月发布的这份年度报告显示,自日本取消严格的新冠限制以来,国际学生人数四年来首次出现增长。

日本文部科学省国际事务副主任武田国子表示:“由于新冠疫情的影响,国际学生数量大幅下降,日本政府为恢复国际学生数量所做的努力正在取得有效的成果。”
这些数据表明,早前日本雄心勃勃的国际化战略取得了初步成功。在该战略中,岸田文雄首相曾承诺,到 2033 年,日本将迎来 40 万名国际学生。
武田认为,日本有吸引力的学术研究环境、安全良好的国家的声誉、独特的文化等是推动近期增长的因素。
一、报告主要内容留学生总数01
该报告显示,截至 2023 年 5 月 1 日,日本有近 28 万(279,274 人)海外学生,比上一年同比增长 20.8% 。


各类型教育机构留学生数量02
在不同阶段教育机构中,日语学校的学生人数增幅创历史新高,同比增长83% ;
其次为大学预备课程,与上一年相比,同比增长 70.3%;
大学本科人数增长也较明显,增幅为 11.5%,2023年国际学生达到了 80,362 人;
研究生人数同比增长 4.5%,共计 55,539 人。
武田表示,由于许多学生将在日语课程毕业后进入高等教育,语言学生人数的激增预示着更广泛的国际学生人数的增长。

留学生主要生源国03
根据数据统计,截止 2023 年 5 月,在日留学生主要来自五个亚洲国家,分别是:中国、尼泊尔、越南、韩国和缅甸。
其中,中国排在所有生源国人数第一位,留学生总数达到 115,493 人。

各专业领域留学生人数04
2023年在日本学习的留学生,就读人文科学专业的人数最多,共计 134,310 人,总占比高达 48.1%;
其次是社会科学专业,就读人数为 57,563 人,占比 20.6%;
工学专业人数也较多,共有 35,135 人,占比 12.6%。

招收留学生最多的大学05
截止 2023 年 5 月,全日本留学生人数最多的大学为早稻田大学,其次分别为东京大学、立命馆大学、京都大学和大阪大学。
具体排名如下:

关于该报告的其他详细内容,可参考以下链接:https://www.studyinjapan.go.jp/ja/_mt/2024/04/data2023z.pdf
那么去日本留学,该如何申请呢?下面老师为大家介绍一下吧!
日本留学常规申请流程
一般来说,如果想申请日本大学,首先需申请语言学校,参加 EJU 留学生考试以及日本大学校内考,最后获得录取资格。

1)日本语言学校(每年 1 月、4 月、7 月、10 月可入学):
一般提前 1 年申请,申请者需满足 12 年教育(高中、中专及以上学历),且日语学时证明 150 小时以上,并提供 20万元存款证明书。
2)EJU 留学生考试(每年 6 月和 11 月):
考试科目共三门,数学和综合科目分文科、理科两张试卷。
文科为日语(400 分)、综合科目(200 分)、文科数学(200 分)3 个科目;理科为日语(400 分)、理科(从物理、化学、生物中选择 2 个科目,总分 200 分)、理科数学(200 分)3 个科目。
3)大学校内考(每年 11 月持续至次年 2 月):
大学校内考为每所大学自己组织的校内入学考试,国立和公立大学的考试时间大多集中在 1 月和 2 月。
文科生通常以小论文和面试的形式进行,理科生根据具体专业,进行笔试和面试。
EJU考试介绍
EJU,中文全名为“日本留学生大学入学考试”,又叫“留考“或”留试”,是用来测试外国留学生的日语和基础学科的学力考试。
目前,日本的国公立大学基本全部采用该考试,许多私立大学也逐渐接受使用EJU成绩申请。
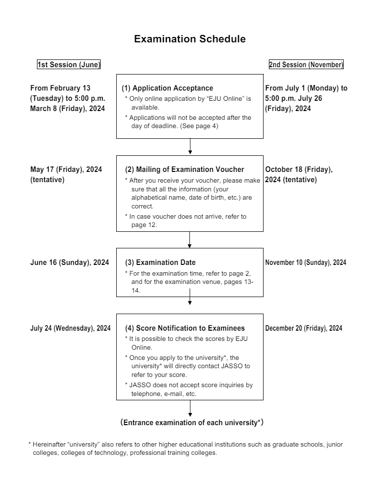
考试时间01
EJU 考试时间比较固定,在每年的 6 月和 11 月举行,2024 年的考试具体日程如下:
-
第一次考试时间:6 月 16 日(周日)
-
第二次考试时间:11 月 10 日(周日)

考试地点02
EJU 的主要考点还是在日本境内,此外还在亚洲其他国家和地区共设置有 15 个考点,包括中国香港和台湾,但中国大陆暂时没有考点。
大陆学生一般都需要先到日本读语言学校,再在日本参加留考,所以可利用一年 2 次的考试机会,到时选取其中最好的成绩提交申请院校。
考试费用03
● 日本境内:只考一门费用为 10,000 日元(含税);考两门及以上费用为 19,000 日元(含税)。
● 香港:只考一门费用为 500 港币;考两门以上费用为 950 港币。
● 台湾:只考一门费用为 1,580 台币;考两门以上费用为 2,080 台币。
EJU 考什么04
了解了 EJU 考试的相关信息之后,老师来带大家看看 EJU 的具体考试内容吧~
EJU 留考总分 800 分,留考整体来说和国内的高考比较相似,且同样区分文理科,其中:
● 文科考试:日语 400 分+1 类数学(文科数学)200 分+文综 200 分
● 理科考试:日语 400 分+2 类数学(理科数学)200 分+理综 200 分

1)日语
考试时间:120 分钟,其中听力 65 分钟
留考中的日语考试一共分为 4 个部分,记述(也就是作文)、读解、听解、听读解(最后两项都属于听力考试的部分)
-
记述:
这一部分的考试要求考生在 30 分钟内写一篇不少于 400 字的作文,一般来说写作题材都比较容易,需要考生将自己的意见和看法表达清楚。此外,记述考试中,如果作文少于 75% 字数( 300 字)是不予评分的。
-
读解:
读解部分是考生最容易做不完的题,更多的时间需要用于阅读并理解文章。而问题的内容大致都是关于文章中心议题的提问,少数题目可能涉及完形填空。
-
听力:
听解(听力理解)+ 听读解(听力阅读理解)两者共计时 65 分钟。学过日语的小伙伴们都知道,日本人讲话语速非常快,考听力的时候考生难免会手忙脚乱,几乎没有慢慢思考的余地,这就需要同学们具备瞬间得出正确答案的判断力。
2)数学
考试时间:80 分钟
EJU 的数学考试分为数学 1 和数学 2 ,类似我们高考时的文科数学与理科数学。数学 2 的难度相对来说高于数学 1 。一般来说,大学对文科生的要求都是考数学 1 ,但是少数学校可能会要求文科生也考数学 2 ,这个具体看学校要求。
-
数学 1:
主要考察的内容为:二次函数和排列组合与概率、数与式、二次函数·方程·不等式、整数的性质、图形与计量。
-
数学 2:
考查内容为:数列、复平面、微分、积分。难度主要集中在微积分的部分,因为这部分的内容基本是国内大一高数的知识点,对于还不太熟悉的考生来说会有一定难度。
3)综合
-
文综
考试时间:80分钟
文综的考试分为三部分:政治·经济·社会、地理、历史。考试的内容与国内高考差不多,而区别在于,EJU会更加侧重考查学生对日本本土人文知识的掌握程度。
-
理综
考试时间:80分钟
理综的考试分为物理、化学、生物三个部分,在考试中同学可以三选二,任选两门自己的强项去考。
老师总结:
总的来说,EJU主要考察的是留学生的日语理解能力(读解、听解、听读解)和写作能力,要求学生理解文章以及谈话内容,把握文章的关联性,其内容比较偏向于学术方向。
在整个EJU的考试内容中,文综考查内容比较多,范围包括政治、经济、地理以及历史科目,但知识点和国内并没有多少重合。因此需要大家从零开始认真备战学习,但好在知识都比较浅,大部分可以通过背诵记忆。
理综部分,由于可以除掉一个自己的短板科目,难度减小不少。除非所选院校专业对生物学科有要求,我们一般建议选择符合大多数院校要求的物理和化学。
数学方面,1 类数学相对简单,而 2 类数学考点有时会涉及到微积分等知识,需要更加深入的学习。
所以整体看下来,对大部分留学生来说,最关键的还是在日语部分,这一块如果能拿到高分,那就具备相当的竞争力!关于日语,建议考试前做大量听力和阅读题。
除了 EJU 考试以外,日本政府推出了一项专为海外学生直升日本高校的留学考试制度——日本大学联合学力测试(JPUE)。
