众所周知,要想在SAT考试中取得1550以上的高分,数学就必须要取得满分或接近满分。虽然SAT数学是中国考生的优势科目,但部分同学在考试时会出现对基本公式和概念的了解并不清晰。
今天,我们特意为大家总结了在SAT考试之前必须熟悉和理解的28个公式,为数学打好基础,助力大家冲刺满分。
下面,就一起来看看吧~
1、几何公式总结

以上这些几何公式,你需要做的就是熟悉理解它们,避免在考试时查找公式而浪费时间。
以下是12个公式和3个几何定理及解释如下:
平面几何公式

►圆的面积Area of a Circle
A = πr²
►圆的周长Circumference of a Circle
C = 2πr 或 C =πd
π为常数,在SAT考试中一般以 3.14计算,r为圆的半径,d为圆的直径,长度为半径的两倍。

►矩形面积Area of a Rectangle
A = lw
(面积 = 长×宽)

► 三角形面积Area of a Triangle
A = ½bh
(面积 = ½ ×长×宽)
b为三角形一侧底边的长,h为三角形该底边上的高。

► 毕达哥拉斯定理 (勾股定理)
The Pythagorean Theorem
a²+b²=c²
在直角三角形中,两个直角边(a和b)长度的平方之和等于斜边长度(c 三角形最长边)的平方。

► 特殊三角形|等腰直角三角形
Properties of Special Right Triangle: Isosceles Triangle
边长比:1:1:√2
等腰三角形具有两条长度相等的边和与这些边相对的两个相等的角,等腰直角三角形具有一个 90 度角和两个 45 度角。

► 特殊三角形|30º,60º,90º
Properties of Special Right Triangle: 30, 60, 90 Degree Triangle
边长比:1:√3: 2
含有30º和60º的直角三角形边长比具有以下规律:30º角所对的为最短边,长度为x,则60º角所对边长度为√3x,直角所对边长度为2x。
立体几何公式

►长方体体积
Volume of a Rectangular Solid
V= lwh =Ah
(体积 = 长×宽×高 = 底面积×高)

► 圆柱体积Volume of a Cylinder
V= πr²h = Ah
(体积 = 圆周率×半径²×高 = 底面积×高)

► 球体体积Volume of a Sphere
V= 4/3πr³
(体积 = 4/3 × 圆周率 × 半径³)

► 圆锥体积Volume of a Cone
V = 1/3πr²h = 1/3Ah
(体积 = 1/3 × 圆周率 × 半径² × 高
= 1/3 × 底面积×高)

►棱锥体积Volume of a Pyramid
V = 1/3lwh = 1/3Ah
(体积 =1/3×长×宽×高= 1/3×底面积×高)
►三大定理 3 Laws
圆的度数为360º(the number of degrees in a circle is 360)
圆的弧度数为2π(the number of radians in a circle is2π)
三角形内角度数和为180º(the number of degrees in a triangle is 180)
2、代数和三角函数公式总结
坐标系公式Slopes and Graphs

► 斜率公式 Slope formula
当直线上有两点A(x₁,y₁),B(x₂,y₂)
斜率=(y₂ - y₁)/(x₂ - x₁)
►直线方程 Equation of a line
y = mx + b
m为直线的斜率(slope),而b为截距(intercept,直线与y轴的交点坐标),直线经过零点时,方程写为y = mx。
题目可能会给出一个其他形式的方程,问斜率和截距的正负等问题,此时应该将方程改写为规范的直线方程形式再进行思考。
►中点公式*Midpoint formula
当直线上有两点A(x₁,y₁),B(x₂,y₂)
两点的中点坐标为
((x₁ + x₂)/2,(y₁+ y₂)/2)
► 距离公式*Distance formula
当直线上有两点A(x₁,y₁),B(x₂,y₂)
两点间距离为
d =√[(x₂ - x₁)²+(y₂ - y₁)²]
圆弧公式Circles

► 弧长* Length of an arc
L弧 =(2πr)×(圆弧角度数/360º)
► 圆弧面积* Area of an arc sector
A弧 =(πr²)×(圆弧角度数/360º)
代数Algebra
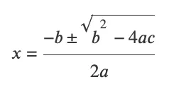
► 二次方程Quadratic equation
给定一个多项式,其形式为ax² + bx + c = 0,求解x。

代入数字即可求解x
(注意需根据±两个算法得出两个x的解)
平均数、概率Averages &Probabilities
n表示数据的个数时:
► 平均数 Mean/Average
A = 数据总和 / n
► 平均速度 Average speed
S= 总距离 / 总时间
求事件A概率时:
► 概率 Probability of an outcome
P(A) =A事件出现的结果数目 / 所有可能出现的基本结果的总数目
三角函数Trigonometry

已知三角形各边的长度,求某角的正弦/余弦/正切值。
► 正弦 sine:sinA = a / h
正弦值 = 角A对边长 / 斜边长
Sine equalsOpposite overHypotenuse
► 余弦 cosine:cosA = b / h
余弦值 = 角A邻边长 / 斜边长
Cosine equalsAdjacent overHypotenuse
► 正切 tangent:tanA = a / b
正切值 = 角A对边长 / 角A邻边长
Tangent equalsOpposite overAdjacent
