强基考生必备!清北复交多校2025强基计划真题汇总

对于强基考生来说,了解强基考查难度、判断自身能力水平最直接的方式就是刷真题!为了方便同学们更好地了解强基校测,我们特整理了2025年部分高校强基校测真题供大家参考。

北京大学

强基考生必备!清北复交多校2025强基计划真题汇总

清华大学

强基考生必备!清北复交多校2025强基计划真题汇总

上海交通大学

强基考生必备!清北复交多校2025强基计划真题汇总

推荐

中国科学技术大学

强基考生必备!清北复交多校2025强基计划真题汇总

西安交通大学

强基考生必备!清北复交多校2025强基计划真题汇总

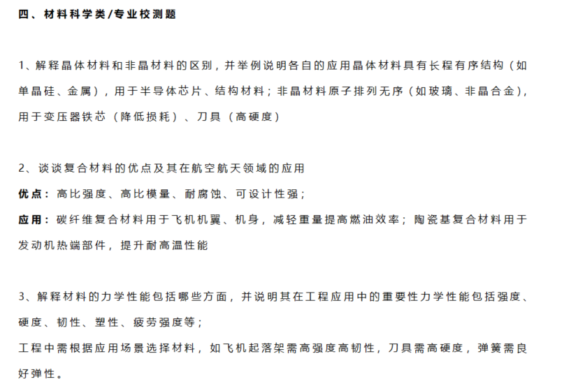
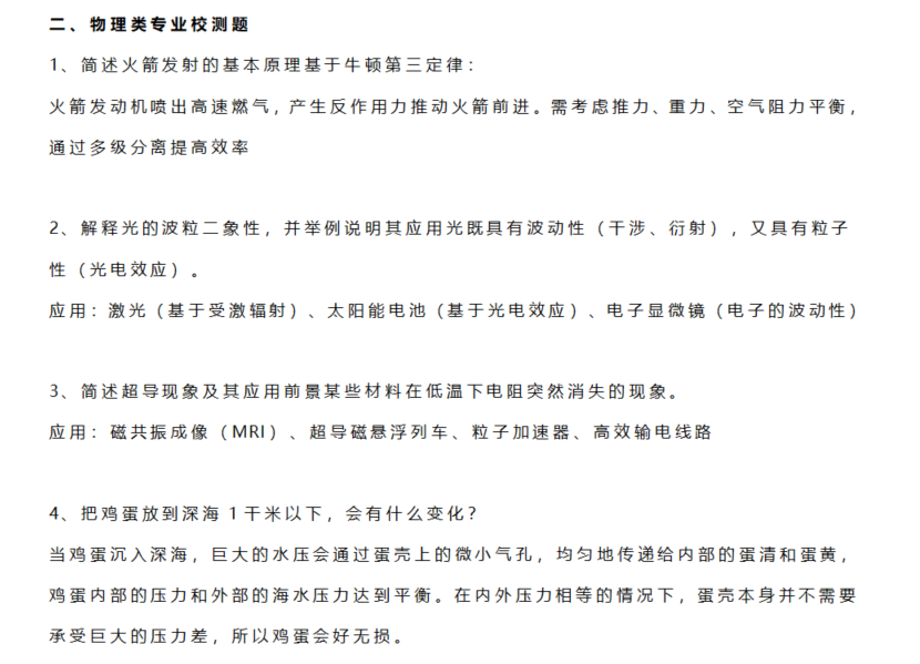
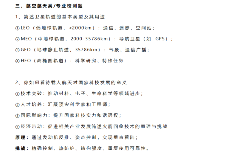
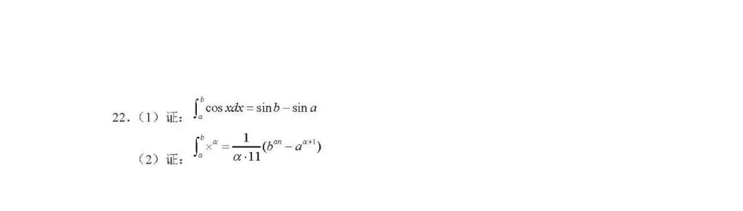
北京航空航天大学

强基考生必备!清北复交多校2025强基计划真题汇总篇幅所限,本文仅展示部分高校强基真题,更多校考真题可扫描下方二维码领取。

中国人民大学

强基考生必备!清北复交多校2025强基计划真题汇总

哈尔滨工业大学

强基考生必备!清北复交多校2025强基计划真题汇总强基考生必备!清北复交多校2025强基计划真题汇总强基考生必备!清北复交多校2025强基计划真题汇总强基考生必备!清北复交多校2025强基计划真题汇总强基考生必备!清北复交多校2025强基计划真题汇总强基考生必备!清北复交多校2025强基计划真题汇总

东南大学

强基考生必备!清北复交多校2025强基计划真题汇总强基考生必备!清北复交多校2025强基计划真题汇总强基考生必备!清北复交多校2025强基计划真题汇总

同济大学

强基考生必备!清北复交多校2025强基计划真题汇总

兰州大学

强基考生必备!清北复交多校2025强基计划真题汇总

厦门大学

强基考生必备!清北复交多校2025强基计划真题汇总

推荐
上一篇

教练专栏 | 拆解辩论中最隐蔽的陷阱:稻草人谬误

下一篇

上海三公学校面单怎么拿?一定要有AMC8数学竞赛和小托福考试证书吗?

返回顶部