就在刚刚!BPhO官网更新了2022年最新考试真题和答案解析!主打一个出其不意~
距离今年BPhO的报名/考试时间也即将到来:
👉 BPhO竞赛报名截止时间:2023年10月30日
👉 BPhO竞赛考试时间:2023年11月10日
在紧锣密鼓的学习备考中,同学们需不需要数理竞赛大牛来”点拨“一下,给些考前冲刺”金手指“?
老师针对BPhO官网上刚刚解禁的竞赛最新真题以及答案解析,给到具体的答案点评和补充,希望对大家有帮助!
2022 BPhO考试回顾
先回顾一下2022年BPhO的考情,去年考察的知识点相较之前有所扩充,为了维持难度稳定,常规的知识点难度相应有所下降。
比如👉以前要求同学们去积分的varying mass的题目,今年直接写出表达式即可。
运动学、电路的题目也都是用最简单的物理手段就能处理,只要同学们基础够扎实,足够细心,同样也能在section1部分冲击高分。
以2022年BPhO获奖分数线为例:
Top Gold和Gold获奖人数比例都不足10%!前者获奖人数占比6.6%,后者获奖人数占比8.7%,想在一群早早接受国际教育的“牛娃”里脱颖而出着实不易。

2022年的题目相对比较难,所以超级金奖的分数线只有39分,如果同学能够把握好Division1部分,就已经离超级金奖很近了。
接下来,让我们有请老师为大家进行BPhO真题解析的补充和答案点评!
BPhO真题解析补充
Section1-c

这是一个非常传统的banked curve题目:


左侧是我推荐的受力分析图,右侧是答案。
值得注意的是,答案里面强调“图像和正确的受力分析”,会给到一分,这也是平时我们需要注意的和养成习惯的。
答案参考解析

老师手写解析

值得注意的是,最近有同学连续错在角度的三角运用上,强调做好受力分析,是用tangent而不是用sine。 要对圆周运动的各个模型去强化记忆,这两年占比很多。
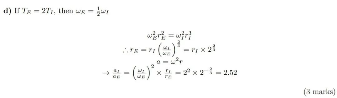
Section1-d

答案参考解析

题目其实隐含了Kepler’s third law,用了的话也不会被扣分,所以还是需要同学们去积累,下次就很有可能这个条件不给了。和这样的题型类似的还有section1-o。
section1-o

答案参考解析

在2020和2022年已经连着两年考了黑体辐射知识点和两个对应的公式。
这两次都给了公式,在上一次还给了图像,个人预测很有可能接下来继续考,而且不给任额外辅助信息,所以同学们对维恩位移定律和黑体辐射公式都要去强化记忆。
通过答案可以发现如果会了公式,只要去套一下就能出答案。
接下来是一些答案的option,给到一些不同的答题思路,并且剔除了一些答案过程中的瑕疵,供大家参考。
section1-f

答案参考解析

答案看上去写的很麻烦,最为关键的是没有把最有特征的公式给标出来,我给同学们一个清晰版的匀加速运动解法:

大家可以把受力分析,和匀加速直线运动这两个模型给分开,把单个知识点弄透,然后去强化记忆,千万别小看很常规的斜面模型,要去强化记忆,非常值得。
去年考察的知识点有所扩充,相应的为了维持难度稳定,常规的知识点难度有所下降。
section1-g

答案参考解析

这里的答案有个瑕疵,题目最后要求 in terms of F1,但这里没有写出来,应该是:
如果对这道题答案解析有疑问的同学,建议大家用微元思想,好好去做个积分。然后利用写两项找规律的方式,就可以快速得到答案。最后,答案给到的偏几解法的几道题,都做繁了:
section1-I

答案参考解析


老师手写解析

这里如果能够学会使用三力共点的这个条件,计算量会小很多,方法不唯一。同样的问题,也出现在了section1-u这道题上:
section1-u

答案参考解析


答案前半段给到的受力分解太过复杂,如果好好使用矢量三角形可以大幅减少计算。
参考计算方式

同样的,后半段的高度计算,题目的三角也用多用繁了,这会大幅拖累答题节奏。
参考解析

所以,对于这些物理思想要求比较高的题目,可以转变到几方面的解题,这样能大幅减少做题时间,更高效解决Section1部分的时间不够的问题。
2022年除了这些难点外,还加入了一些非常陌生的点,比如resonance,resolution,hubble‘s law等等。
这些内容我在去年有给大家解析,欢迎大家参考,也是大家可以接下来去提升的点。

