新鲜出炉!老师带来了S2详尽的答案、思路梳理及练习题对比,助力同学们为接下来的考试查缺补漏。
Alevel数学S2
试卷第⼀题:2015年5月S2原题Q1

答案:


试卷第⼆题:2014年1月S2原题Q2

答案:


试卷第三题:2016年1月S2原题Q3

答案:


试卷第四题:2018年10月S2原题Q3

答案:


试卷第五题:2018年5月S2原题Q5

答案:


试卷第六题:2016年5月S2原题Q5

答案:


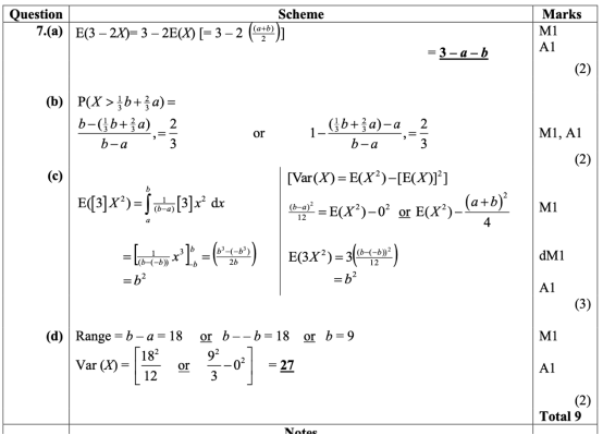
试卷第七题:2017年5月S2原题Q7

答案:


S2考试分析与总结
2025年10月S2真题卷每道题都是旧考纲原题,难度中等,以考察学生对知识点理解为主。一般只要学生概念清楚、计算准确,平时多加练习,考试基本能取得较为不错的成绩。

