ALevel课程如何规划?如果同学们日后想要申请牛剑G5、美国藤校等知名院校,那么一定要科学规划ALevel课程学习。高效利用ALevel课程这三年时间,同步做好标化成绩、语言能力、竞赛背提备考规划,时刻为offer准备着!
ALevel数学成绩单上的A*是怎么算的?不同考试局,合分规则是怎么计算的呢?本文将深度解析,AS和A2成绩,决定着学生最终的成绩,也决定了学生最后是否能拿到名校Offer,我们开设ALEVEL数学辅导专业课程,3-8人小班,速来占位
ALEVEL数学合分规则
这是一个非常关键的选择,直接影响到你的学习体验和最终成绩。三大考试局(Edexcel, CAIE, AQA)的A-Level数学与高数没有绝对的“最好”,只有“最适合”。
在为你详细对比之前,一个核心的结论是:追求高A*率、喜欢模块化分段考试选爱德思;追求知识深度、适应一次性大考选CAIE;希望在两者间取得平衡则考虑AQA。
下面,老师将从考试结构、难度、题型和适合人群等维度为你进行彻底解析,并帮你判断自己更适合哪一种。
📚一、 核心对比表格:一目了然

📚二、 各考试局深度剖析
1. 爱德思 - “刷分冲A*者的首选”
●核心优势:
1)模块化考试: 你将学习P1, P2, P3, P4, M1, S1等多个单元,并分开考试。这允许你“各个击破”,考得不好的单元可以单独重考,极大地提高了获得高分的概率。
2)高A*率: 爱德思的A*率常年显著高于其他考试局,这使其在成绩数据上非常吸引人。
3)真题驱动: 题型和考点高度重复,只要你投入足够时间刷透历年真题,就很容易摸清套路,取得高分。
●潜在挑战:
1)容错率低: 因为大家普遍能通过刷题取得高分,所以在关键题目上的微小失误就可能与A*失之交臂,竞争体现在“细节决定成败”。
2)理解可能不深: 过于依赖刷题可能导致对某些数学概念的深层逻辑理解不够扎实。
●适合的你:
1)是“考试型”选手,善于通过反复练习掌握应试技巧。
2)希望有多次机会来提升成绩,心理上需要“安全网”。
3)非常看重最终的A*等级,并愿意为此进行大量重复性练习。
2. CAIE - “数学深度爱好者的试炼”
●核心优势:
1)知识体系严谨深入: CAIE的课程设计被认为是最严谨和深入的之一,尤其在高数中,会涉及一些更抽象、更理论化的内容,能为你大学的理工科学习打下坚实基础。
2)培养真正的数学思维: 题目更强调知识的融会贯通和解决新问题的能力,而非机械套用。这能极大地锻炼你的逻辑思维和推导能力。
●潜在挑战:
1)线性考试: 所有试卷在一个考季内完成,一考定乾坤,没有单科重考的机会,心理压力和考试风险更大。
2)低A*率: 由于题目难度更高、综合性更强,获得高原始分更难,因此A的分数线更高,获得A的竞争也更激烈。
3)对书写规范要求高: 在证明和解答题中,对步骤的完整性和逻辑性要求极为严格,容易因步骤分失分。
●适合的你:
1)对数学有真正的兴趣,不满足于浅尝辄止,喜欢探究背后原理。
2)基础扎实,善于应对综合性、有深度的难题。
3)心理素质好,能够适应一次性大考的压力。
4)未来计划申请剑桥、牛津等顶级名校的数学、物理、工程等专业,一个CAIE的A*成绩含金量公认很高。
3. AQA - “稳健平衡者的选择”
●核心优势:
1)平衡性好: AQA的题目在“概念理解”和“考试技巧”之间取得了很好的平衡。它没有爱德思那么“套路”,也不像CAIE那么“深邃”。
2)考纲清晰: 课程结构明确,学生容易把握学习重点。
3)注重现实应用: 部分题目会更贴近实际生活场景,帮助理解数学的用处。
●潜在挑战:
1)国际资源相对较少: 对于国际考生来说,相比爱德思和CAIE,AQA的过去真题、辅导资料和教师社区资源可能稍逊一筹。
2)“中庸”定位: 既没有爱德思极高的A*率,也没有CAIE顶级的认可深度,可能让一些目标极其明确的学生感到“特点不突出”。
●适合的你:
1)希望学习难度适中,不追求极端。
2)喜欢结构清晰、可预测性强的课程体系。
3)所在学校提供AQA课程并有良好的教学支持。
📚三、 如何做出最适合你的选择?
请根据以下问题来判断:
1.你的学习风格是?
A. 我喜欢通过大量做题来巩固知识,见到题型就有思路。 -> 优先爱德思
B. 我喜欢深究为什么,享受解决复杂难题的过程。 -> 优先CAIE
C. 我介于两者之间,理解和练习对我同样重要。 -> 考虑AQA
2.你的抗压能力和考试策略是?
A. 我希望有多次机会,分阶段完成,这样压力小。 -> 优先爱德思
B. 我能接受一战定胜负,喜欢一次性集中精力搞定。 -> 优先CAIE/AQA
3.你的目标是什么?
A. 最大化获得A*的概率,为申请加分。 -> 优先爱德思
B. 挑战自己,为大学学习打下最坚实的基础。 -> 优先CAIE
C. 平稳地学习,拿到一个有竞争力的成绩。 -> 考虑AQA
4.最重要的现实因素:你的学校!
你学校的老师对哪个考试局最熟悉?一个经验丰富的老师团队比任何考试局的选择都重要。
查看你学校往年各个考试局的成绩数据,哪个表现更好?
行动建议:
立即去找这三个考试局最近2-3年的真题各一套,亲自做一下感觉感受!这是最直接、最有效的方法。你会立刻发现你对哪种题目风格更得心应手。
希望这份详尽的对比能帮助你做出明智的选择。祝你学习顺利!!!
BC/OSSD/DSE课程推荐申请英国吗?如何冲牛剑才更有竞争力?
加拿大课程BC/OSSD
01、加拿大课程和英国申请
加拿大教育和澳洲类似,属于省内自治,常见的课程体系有BC和OSSD。
BC是不列颠哥伦比亚省 (简称BC省 ) 开办的加拿大高中课程;OSSD则是由安大略省开始的全日制高中学历课程。
从评估方式上面来说,和 “一考定终身” 的中国高考与大考 “攻于一役” 的A-Level不同,加拿大更注重平时表现。
BC的学生需要参加省考,每个科目最终成绩省考占40%,平时成绩占60%。
如果省考和平时成绩差别很大(超过20分),则会取消平时成绩,用较低的省考成绩取代。

OSSD课程每科按照70%平时作业,30% 考试成绩的比重计算出最终成绩。
平时成绩占比进一步提升,对学生更加宽容了,给不擅长考试的学生提供了一条不一样的评估体系。
正常来说,加拿大本土大学一般会考核4门12年级科目,少数大学需要5门科目,或者也需要提交 11年级成绩。
大多数学生会申请加拿大和美国大学,申请英国虽然是小众选择,但也完全没有问题。
以BC课程为例,来看看英国学校对成绩的要求吧!
牛津大学

需要学生提交5门12年级课程成绩,每科在85分以上。
另外,牛津大学估计学生参加SAT和AP考试,以增加成绩的竞争力。
剑桥大学

需要学生提交至少6门12年级课程成绩,每科在 90分以上。
另外,剑桥大学需要学生同时提交AP、IB或其他成绩。
帝国理工

需要所有12年级科目都在85-90之间,包括至少 5个科目85-90分。
LSE

A*AA需要BC课程的学生提交至少5门95分的12 年级科目。
AAA需要至少5门93分的12年级科目。
AAB需要至少5门90分的12年级科目。
UCL

需要学生提交至少5门12年级课程成绩,每科在 83分以上。
02、加拿大课程没有竞争力?
最近两年,因为个别机构造假OSSD成绩单事件,加拿大课程申请英国究竟有没有竞争力的担忧再次被讨论。
但其实问题的本质是机构失信,并非课程体系本身有问题。
毋庸置疑的是,大学会严格审查 OSSD成绩单,成绩单可信度的降低不意味着课程竞争力的降低。
无论是BC还是OSSD,都比较以软实力为导向,看重学生的社会活动能力。加拿大课程学生一旦与 A-Level、IB 体系学生同台竞争,在学术上比较容易吃亏。
毕竟剑桥大学直言:仅靠加拿大课程成绩的竞争力是不够的,需要额外提供其他成绩,如 AP/ IB/ A-Level。

剑桥额外补充成绩要求:
AP:5门以上科目成绩达到Grade 5
IB:HL 课程776-777
机构就有一名学员,用加拿大的OSSD体系申请上了剑桥大学的数学系。
这位同学的OSSD成绩非常好,而且也提交了AP和SAT的成绩。
这位同学不仅有很强的英语表达能力,数学的能力也非常优异,曾经进入过加拿大的数学集训队,还系统性地学习过大学的课程——包括数学、物理、计算机、化学等。
03、中国香港课程和英国申请
中国香港DSE考试,全称香港中学文凭试(Hong Kong Diploma of Secondary Education),是香港高中阶段的标准化考试。
这一考试体系实际上是从A-LEVEL考试制度演变而来的。考生只要在香港DSE考试中取得达标分数,便可以直接申请升读以下英国大学的本科课程,免读预科。

DSE可申请英国大学的名单
英国有123所学校接受DSE成绩申请,其中包括有剑桥大学、曼彻斯特大学、爱丁堡大学等英国的著名大学。
英国G5对DSE分数要求如下:
剑桥大学
DSE分数要求:文科7科36分、理科7科37分(总分49)
牛津大学
DSE分数要求:三个选修科或必修数学555至5*5*5
帝国理工学院
DSE分数要求:三个选修科或必修数学555至5*5*5
伦敦大学学院
DSE分数要求:7科31分至36分(总分49)
伦敦政治经济学院
DSE分数要求:7科29分至33分(总分49)

几种国际主流考试体系的对比
如果想冲G5,尤其是牛剑,一定要根据自己想申请的专业补充其他成绩,推荐相对来说容易 “刷高分” 的AP或者A-Level。
准备笔试。如数学系的MAT,物理系的PAT 等,笔试成绩的突出可以极大增加录取几率。
准备面试。面试是申请的“最后一关”,在近年牛津的申请逻辑中,笔面试表现比高考成绩的重要性大很多。但面试没有大纲,没有范围,建议找有经验的老师指导。
Kaggle是一个进行数据发掘和预测竞赛的在线平台,是全球最大的数据科学竞赛平台,其行业地位独一无二,在全球范围认可度都很高。参加Kaggle竞赛不仅能通过实战提升技能,还能通过竞赛经历为简历加分,是国际高中生与大学生申请数据科学和人工智能领域的利器。
Kaggle竞赛赛事规则详解
1、报名渠道
https://www.kaggle.com
点击进入官网后,可以使用邮箱注册或页面注册账号。
邮箱注册:点击使用谷歌账号或邮箱进行注册
页面注册:再次进入kaggle页面注册,同意条款,进入到注册时的邮箱中查看 6位验证码并填写。


2、参赛流程
登录Kaggle账号——找到你要参加的比赛——点击【Join Competition]——并点击【Accept】即可参赛
提交代码,查看排名靠前的代码,可以学习他们设计模型、特征工程的思路,借鉴改进自己的技能。
统计数据,用户可以浏览和下载公开的数据集,或者分享自己的数据集供其他用户使用。

3、适合学生
对数据科学、数据挖掘、机器学习感兴趣的高中生
有一定计算机背景的大学生
4、参赛时间
全年都可以参与,视想要参与的项目决定
5、参赛形式
3-5人组队参赛或/1v1定制,线上进行挑战
6、竞赛模式
getting star(入门级):没有奖金,但有非常多的前辈经验可供学习,如经典的泰坦尼克号生存预测,适合新手熟悉流程。
playground(进阶级):比赛后面通常会标有Kowledge (经验)、Kudos (荣誉)和少量奖金,聚焦特定技术领域,如猫狗分类,允许参赛者自由探索。
Featured(高级):比赛是有赏金的,通常由学术机构发起,侧重前沿技术研究,如大模型对抗攻击
Research(研究级别):Research比赛与高级比赛相比研究类比赛更具实验性,由企业或政府赞助,解决实际商业问题,奖金可达百万美元。在Kaggle中只有Research和Featured类型的比赛会累计积分和奖牌。

7、竞赛规则(不能犯的作弊行为)
私下共享代码,不组队
私下共享Dataset,不组队
一台机器或一个IP登陆多个账号
别人帮我提交代码或CSV
使用多个账号提交相同预测结果,通过平均得分规避审查盗用他人代码或数据集,如某参赛者将开源项目伪装成个人成果,骗取奖金。
多支队伍共享代码或分工攻击不同模型,如通过交叉验证伪造高分。
8、写入申请
Kaggle竞赛获奖后,官方不会颁发奖状,但学生的账号会显示获奖结果,到时候申请可以给学校看学生的主页链接即可。
Kaggle竞赛备赛书籍与课题推荐
1、5月~6月Kaggle竞赛课题推荐
5月:斯坦福大学RNA三维折叠
6月:2025年图像匹配挑战


2、Kaggle竞赛备赛书籍
《Approaching(Almost)AnyMachineLearning Problem》:这本书被誉为解决各类机器学习编码难题的宝典,内含众多实例和代码,旨在帮助读者掌握机器学习的应用,书中还包含了丰富的Kaggle竞赛技巧。
《Introducing Data Science》:这本书涵盖数据科学的所有介绍,包括基础概念和实践应用。结合理论与实践,帮助读者快速上手,使用Python语言进行教学,易于理解和operate。
《Naked Statistics -Stripping the Dread from the
Data》:这本书将复杂的统计概念分解为易于理解的小步骤,通过幽默和讽刺的语言,让读者在轻松的氛围中学习,书中的例子和practice紧密联-系实际,帮助读者在工作中应用统计学知识。

Kaggle竞赛辅导班
机构专注于国际竞赛辅导10年,针对Kaggle比赛,机构开设了不同的比赛课题,全年滚动招生,由经验丰富的师资团队指导,学管+助教+顾问共同服务。
授课形式:线上授课,课堂实时互动
授课人数:3~5人班课、1V1定制课程
授课时长:20课时
授课大纲

01ALevel课程升学规划
IG年级
·8-9月:提前确定IG课程选修科目
·10-12月:同步学习IG课程,掌握期中知识点,查漏补缺
·1-2月:寒假期间加强复习和预习
·3-4月:进行IG考前真题练习
·5-6月:参加IG全球统考
·7月:雅思成绩目标6分以上
AS年级
·8-9月:预学AS课程,参加大学夏校和学术夏令营
·10-12月:同步学习AS课程,掌握期中知识点,查漏补缺
·1月:参加Edexcel考试局统考
·2-4月:学习AS课程,准备学科竞赛和STEP附加考试
·5-6月:参加AS全球统考和STEP加试
·7月:目标雅思成绩6.5分以上,确定留学专业和学校
A2年级
·8-9月:预学A2课程,确定选修科目,准备加试学习,准备申请材料并提交申请
·10-12月
① 同步学习A2课程,掌握期中知识点,查漏补缺
② 参加ALevel全球统考和加试
③ 接收录取通知书,进行面试培训
④ 参加牛剑等名校的面试
·1月:参加Edexcel考试局统考
·2-4月:
① 冲刺A2学习,目标达成CONDITIONAL OFFER上的成绩,同时准备补考AS课程
② 若雅思成绩未达CONDITIONAL OFFER要求,重点规划雅思学习
·5-6月:参加ALevel全球统考,雅思目标过CON
·7月:申请签证,预订机票,预定机票
AP微积分部分常考题型回顾
1.Multiple- Choice Questions
(1)
答案:A
(2)

答案:D
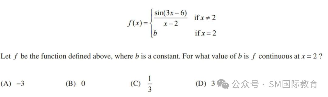
教师点评:本类题型,考察连续定义、可导判断。注意左右极限、左右侧导及极限求解运算。
(3)

答案:A
(4)

答案:D
教师点评:通过对黎曼求和“有限个”加和的理解,进一步理解“无限拆分”思想。
先找△x同学们也可通过画草图来分析,更直观的区分选项。
(5)BC only

答案:B
教师点评:考察积分方法:by-parts。定积分运算需注意正负号问题。
(6)BC only

答案:D
教师点评:polar curve找area,原理:扇形面积累加。需注意与平面直角坐标系中area问题的区别。
(7)BC only

答案:B
教师点评:使用ratio test,注意极限的化简;还需手动验算端点值。
(8)BC only

答案:C
教师点评:常用的Maclaurin series展开式,需要记熟练。
2.Free-Response Questions
(1)BC only,2021-frq

参考解析:


教师点评:强调公式的准确运用,计算器熟练操作。
(2)2023-frq


参考解析:



教师点评:线性估算两步走:切线和代值。分离变量求解微分方程,注意步骤。
(3)BC only,2011-frq

参考解析:

教师点评:熟记常用的Maclaurin series展开式,会运用Lagrange error bound的形式。

