作为国际生(尤其是理科方面擅长的学生)豪取多门AP的优异成绩的重要组成部分,AP物理C力学尤其是AP物理C电磁学的高分成绩在数理学科上的分量早已不言而喻。
由于这两门都是基于微积分为基础的物理课,很多同学这学期才开始学习微积分,微积分本身就有一定的难度,再加上更复杂的物理学原理叠buff,是时候给大家解解忧宽宽心了。
AP物理C力学在学习过程中需要将物理基本原理结合微积分符号进行表达和计算,但其实用到的微积分知识无外乎极限分析、导数意义以及积分计算这三处。
所以这三处的基本意义和作用要清楚。用微积分表达的本质其实就是将AP物理1中学习的公式结合微积分的基本思想推广到更一般性的情景中。
AP物理C力学所有微积分表达公式理解
平动部分运动学关系:



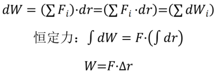
功能关系:

引力势能的理解和计算

弹性势能理解与计算:

动量与冲量:


质心的速度和加速度关系:

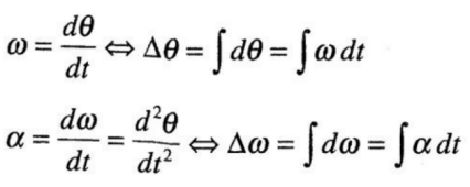
转动运动部分涉及微积分理解与表达:


转动惯量的模型化求解:

简谐振动部分:


球体内外引力大小关系:密度随半径变化ρ=b(r)

学习建议:
- 极限是理解区间到瞬间的工具,导数重点理解瞬时变化率的物理意义,积分注意选什么分析对象作为微元对哪个变量进行积分。
- 所有公式积分导数表达形式注意物理学原理第一定义的回归。
- 多推导公式,减少对公式表的依赖,培养独立解题能力。

