MS基于稀疏矩阵的空战动作识别和意图判定
项目分类:人工智能|计算机科学|数据科学
课题背景01Project Background
随着空战技术的快速发展,如何在复杂空战场景中准确识别战斗机的动 作并判断其作战意图成为一大挑战。本项目旨在设计并开发一套基于稀疏矩阵的空战动作识别和意图判定模型,结合字典学习算法对战斗机的飞行数据进行分析与处理,识别出复杂飞行动作并判断飞行意图。学生将学习飞行数据处理、稀疏矩 阵和字典算法的原理及其在实际空战场景中的应用。
该项目的应用场景包括军事 空战态势分析、飞行员训练优化以及智能战斗机决策支持系统的开发。
该项目通过学习稀疏矩阵与字典建立方法,构建能够 识别空战动作和判定飞行意图的系统。学生将掌握飞 行数据分析、稀疏矩阵构建及动作识别算法的编程实 现,完成从理论到实际模型搭建的流程,提升对复杂 飞行动作序列的处理能力。项目还将结合数据进行模 拟,深入理解动作识别与飞行意图判定之间关系。

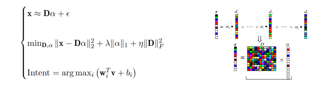
在基于稀疏矩阵的空战动作识别和意图判定项目中,将结合多种算法实现动作识 别优化,包括稀疏编码算法用于动作序列的稀疏表示、字典学习算法构建动作特 征库、以及基于特征向量的意图判定算法,用于动态识别和判定飞行意图。对应的 数学公式如下:
项目目标02Project objective
本项目有两个研究目标
(1)通过深入学习稀疏矩阵及其在空战动作识别中的应用,掌握字典学习算法和矩阵分析方法,理解飞行数据参数,并在此基础上完成对空战机动动作的识别与分析,以增强在实际飞行数据处理中的应用能力。
(2)掌握基于稀疏矩阵的飞行数据处理方法,并通过编写算法实现对动作序列的划 分和飞行意图的判定,确保模型在各种空战情境下能高效准确地识别判定意图。
项目收获03Project Harvests
本项目在数学、编程、模块设计和专业写作提供了多项技能提升
- 巩固学科知识点微积分–线性代数–概率论

在基于稀疏矩阵的空战动作识别和意图判定项目中,掌握微积分、线性代数、概率论等基础数学知识对于空战数据的处理、机动动作识别及意图判定模型的构建与优化至关重要。
设计并实现一套基于稀疏矩阵的空战动作识别和意图 判定模型,通过对飞行数据参数的深入分析和稀疏矩 阵与字典建立方法的应用,构建整体架构。确保系统 能够有效识别战斗机的机动动作,实现对飞行事件和 意图的准确判定,并通过可视化工具展示分析结果,从 而提升空战指挥决策的准确性与效率。
- 深度参与编程实践编程语言掌握–控制软件开发–仿真与模拟
- 掌握 LaTex 写作学习掌握国际通用的科技写作软件 LaTex
项目成果04Project achievements
项目成果丰富,包括实物、数据、论文、专利等,不仅能帮助挖掘兴趣特长、选择适合自己的专业,成果对申请国际名校还有加分作用。
□ 项目总结 □ 技术报告
□ 仿真代码 □ 小论文
□ 求解器 □ 实物模型
□ 协助发表相关论文、申请软件专利
更多课题列表(部分)添加「科研项目客服」扫码获取完整科研课题列表
历史学生案例06ExamplesF同学
成都石*国际部|牛津大学机械工程专业
因为小学有参加过机器人竞赛的经历,而且也计划后期就读机械工程的方向。所以跟老师商议后,决定开展水下机器人水下机器人的科研项目对,这段经历不仅让我更直观的了解了工程学相关的知识,也可以说是我拿到牛津offer最直接的助力。
X同学
成都*德国际部|德州农工大学
我进行科研项目不仅仅是因为物理ee要求学生进行自主实验,更因为我对我的项目(空气动力学)抱有极大的兴趣。
很早之前我就有过想要做飞行器简易研究的想法,但是苦于缺乏机会,而ee给了我一个完美的时机。在我做科研的过程中,学到新的物理学知识是必然的,然而我认为更重要的是动手能力。
因为我计划后期继续在工程方面发展,科研项目让我有机会自己动手设计,制作,组装和运行我的项目。
更多科研项目内容,请扫码咨询科研项目客服老师,我们专注科研项目、科研竞赛的指导,为家长提供专业、前沿、个性的科研项目指导。
