-代数,是理解数量关系和变化规律的语言,而公式则是这门语言中最精炼、最强大的词汇。从最初的因式分解与平方公式,到函数、方程、不等式的推导,几乎每一个代数问题都离不开公式的运用。
今天就我们来整理一些Algebra 1与Algebra 2阶段的公式。
由于代数的课程会分成普通、荣誉、带三角函数等等不同的级别,内容和难度上都会有差异,这里我们列出的是最高级别课程所需要掌握的公式。对于低级别的课程,并不需要掌握下文中列出的所有公式。
代数运算

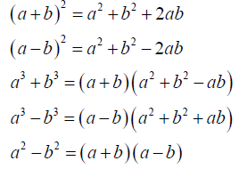
基本公式

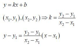
一次函数(直线,linear function)

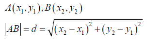
两点距离公式(distance between two points)

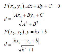
点到直线的距离公式(distance from point to line)

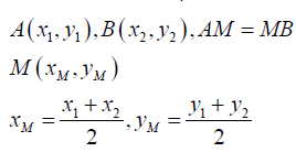
中点坐标公式(midpoint)

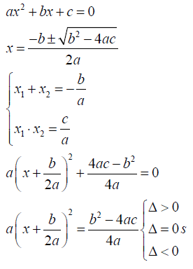
一元二次方程(quadratic equation)

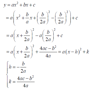
一元二次函数(quadratic function)

函数表达形式

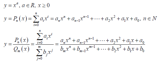
幂函数,多项式,有理函数(Power, Polynomial, Rational function)

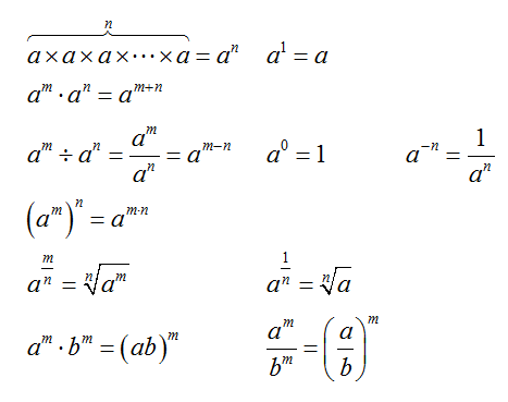
指数运算规则

对数运算规则

利息理论(interest rate)

计息周期(payment period)

有效年利率(effective annually rate of interest)

增长模型(growth model)

其他增长模型

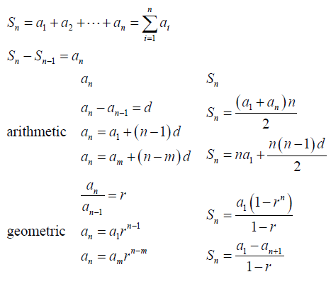
数列(sequence and series)

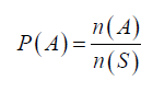
概率统计(probability and statistics)

平均值(mean)
方差与标准差(variance and standard deviation)


