今天我们来聚焦2021年首考的IC机械工程笔试考试。
帝国理工机械工程笔试时长60分钟,形式为线上机考,共15道题目。考试将在每个申请季11月(针对10月15日之前提交申请的学生)与次年2月(针对1月15日之前提交申请的学生)各举办一次。
学校会率先对学生的申请材料进行筛选,筛选标准包括标化成绩,预估成绩,文书和推荐信等。通过筛选的同学将会收到笔试邀请,不需要自行报名哦!学校将会根据笔试成绩和其他申请材料向优秀的学生发出面试邀请。
考纲内容覆盖代数,解析几何,数列,三角函数,指数,求导积分,向量,数据应用,概率,二项分布,动力学,力学平衡,牛顿定律,材料,电路分析,光学与波。

(插图1: 考纲)
IC 官网也贴心的给出了笔试readiness test 例题
我们请到了去年负责IC笔试教研的Chloe老师为大家做了以下例题解析
(注:Readiness Test 仅仅提供了考试形式和内容的例子,难度并不能代表实际考试难度)
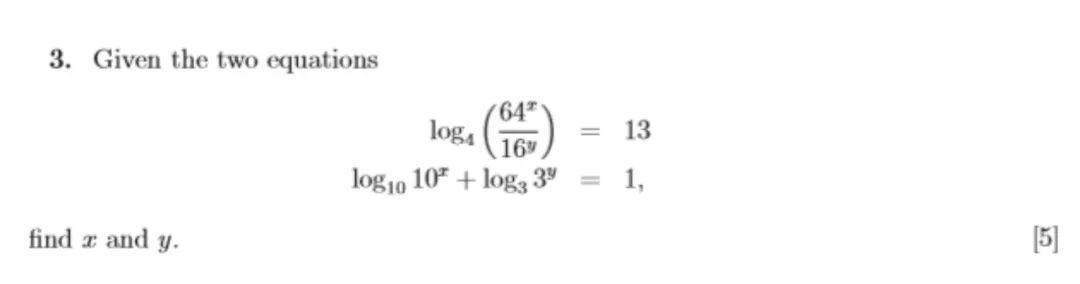
#1

解析:
本题考察了Exponentials and logarithms 指数的运算,属于简单题,这一类题目在Engaa (剑桥工程笔试),Pat (牛津物理工程笔试)当中都是常见考点,是对学生数学基础运算的考察。
同类参考题目:

*题目来源:Engaa 2019 specimen paper

*题目来源:AMC竞赛 2019

*题目来源:PAT 2016
#2

解析:
本题考察了probability概率里面尤其是binomial distribution的应用,属于简单题,这一知识点也存在于Engaa (剑桥工程笔试), Pat (牛津物理工程笔试)当的考纲当中,是对学生对于概率问题的理解以及应用的考察。
同类参考题目:

*题目来源:PAT 2013

*题目来源:TMUA 计算机专业入学考试2019
#3


解析:
本题考察了force and equilibrium力学平衡的知识,属于简单题,这一知识点也在Engaa (剑桥工程笔试),Pat (牛津物理工程笔试)中大量考察,对于机械工程学生来说这类知识点是大学内容的重要基础。
同类参考题目:

*题目来源:Engaa 2018
#4

解析:
本题考验了学生problem solving skills, 即如何用已知信息进行分析应用,属于中等难度题,这一类题目考验学生思维的敏捷力,考察学生是否能够快速发现题目是在考什么知识。
*题目来源:BPHO AS challenge 物理竞赛2011



