11月SAT考试已经顺利结束,我们机构SAT教研组老师们一如既往地迅速行动,为大家送上最新的SAT考情解析。本次SAT考试难度与我们之前的预测完全一致,CB果然在11月安排了一次难度高于10月、重题率降低的考试。
这验证了我们基于历史数据分析(去年8月和10月出现难题,今年仅8月出现难题)所做出的专业判断——为了保持整体难度水平一致,CB有充分理由在11月或者12月进行难度的校准,即11月或12月会出现一次相对较难的考试。
本次考试据传有4-5套题,有3套题包含大幅改写及全新考点的变体题,另外的1-2套题,包含了很难的推断题(2-3道)和双篇题(1-2道)。
另外,还有出现了极为少见的通篇词汇题难词的情况(4-5道难词词汇题)。因此,综合来看,本次考试整体整体平均难度还是比较高的。
那么具体情况如何,各位同学和家长可查看本篇文章的详细解析。教研组老师也在第一时间拿到了11月亚太考题,有需要的家长请和助理老师联系。


阅读部分:难点在词汇题,题目数量增多
本次SAT阅读难度显著提升,主要体现在题量增加和重复题目比例下降。部分试卷难度偏高,出现多道高难度推断题、双篇阅读以及非常难的词汇题。词汇题难度较10月有明显上升,甚至出现了到GRE水平的生僻难词。像这道词汇题,同学们要多注意indeed取同,找到spurred来对应catalyst。
这道题更要注意到是双重否定↓
下图这道题之前的变体题是undermine(削弱)了哪个观点,这个题目是问得出了哪个观点,同学们一定要注意区分!

下图这道题,要注意绝对词minimum, 同时注意数字组的含义和比较关系!

语法部分整体难度和之前相差不大
语法部分整体难度平稳,与近几个月保持了一致水平。
考点均都在常规范围内,同学们反馈试卷中出现的题型,基本都是课堂重点讲解和反复练习过的内容。
像今天考察的这道语法题,考的就是分析句子结构,并找出主语或者中心语。

日常我们也会通过讲练SAT官方根源题目,来总结不同知识板块的常见题型和解题思路。
以上来自机构语法习题册
逻辑部分依然是有难度,但很多难题是重复题目。但是我们也有在课上反复和大家强调逻辑词题的方法论,用排除法,找中间联系等。
数学部分难度适中,老题变体题多
SAT数学11月题目难度适中,数学考验细心程度,考验对表达式结构的观察能力,本次数学计算量大,新题有所增加。
但是绝大部分题目也是近期出现过的相同题型,只是换了数字和背景信息。
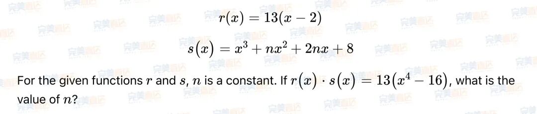
比如这道11月数学真题,就是考察学员对于平方差的掌握问题,这也是我们在全科班阶段就反复强调过的题型。

SAT对运算技巧的考查无外乎提取公因式(Factoring)、代特值、换元法、十字相乘、平方和、平方差六种,要结合练习熟练掌握。
以上解题方法采用平方差套平方差,在我们的机构的习题册就出现过。

数学模块最后几道题的计算量有所增加。尽管如此,想要获得满分还是有一定难度,这提醒我们平时练习中必须重视错题的总结与分析。
11月SAT考试突发情况
今日澳门理工大学考点突发考场调整,有一层考生被临时通知,要统一使用CB提供的Pad设备参加考试,不得使用自备电脑。
这一突发变化导致部分考生因设备不适应而选择弃考。针对此情况,官方已给出明确解决方案:弃考考生可通过邮件联系CB申请改考至下一场次。
值得关注的是,此次设备统一是CB的试点尝试,未来也有可能会成为常态化措施。尽管给不少考生带来了意外挑战,但这也被视为CB加强考试安全、打击作弊行为的重要举措。
11月SAT成绩查询与后续安排
本次SAT考试成绩预计将于考后两周,即11月21日(周五)19点左右公布,考生可通过College Board官网进行查询。
值得注意的是,11月21日同时也是2025年最后一场SAT考试(12月场)的报名截止日期。

想要报名明年考试的学员们,可以根据自身学习进度,合理规划寒假前后的备考安排,为2026年SAT3-6月的考试做好准备。

