P3如约而至!老师给出了详尽的答案、思路梳理及练习题对比,助力同学们为接下来的考试查缺补漏。
Alevel数学P3
试卷第⼀题

(i)2014年6月C34原题:
答案:

(ii)2015年6月C34第5题第ii问:

答案:


试卷第⼆题

2017年6月C34原题:(a)问没考

答案:


试卷第三题

2016年6月C34原题:

答案:



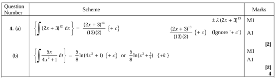
试卷第四题

2018年10月C34原题:

答案:



试卷第五题

2014年1月C34原题:

答案:



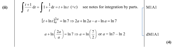
试卷第六题:

2014年1月C34原题:

答案:


试卷第七题:

2017年6月C34原题:

答案:


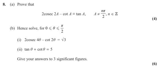
试卷第八题:

2015年1月C34原题:

答案:



