在数学竞赛的道路上,从AMC10/12晋级AIME是无数学生追求的重要里程碑。那么,AMC10/12究竟要考多少分才能晋级AIME?AIME难度到底有多大?如何才能成功晋级?今天,Sharon就来为大家详细解析这些问题,为你的竞赛之路指明方向!
Part 01AMC10/12考多少分才能晋级AIME
AIME的参赛门槛为在AMC10中取得前2.5%或AMC12中前5%的成绩。为提升受邀可能性,部分考生会采取【双线作战】策略,即同时报名AMC10与AMC12,利用A、B卷的考试安排,在一个赛季内争取两次取得晋级资格的机会。

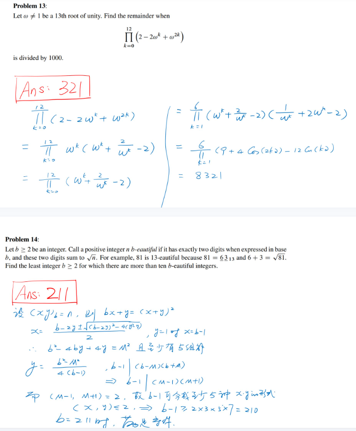
结合上图2020年-2024年的AIME晋级分数线,可以看出
🏆AMC10竞赛晋级AIME,需要至少105分左右
🏆AMC12竞赛晋级AIME,需要至少88分左右
AMC10/12遵循统一的计分标准:每答对一题得6分,未作答可得1.5分,答错则无分。因此,在备考阶段通过历年真题进行模拟测试,便可依据此规则估算分数,初步预测自己是否具备晋级AIME的潜力。

Part 02AIME难度解析
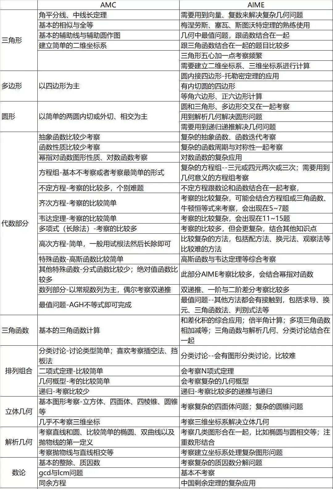
AIME的试题主要是中学数学层级综合知识的融合和解题技术堆砌。从AMC和AIME考点对比可以看出,AIME与AMC12的知识覆盖是大体相同的,可以说是从AMC12升级的填空题版考试,对于AMC10晋级AIME的同学来说也会有一战之力。

我们也从近几年的AIME I卷的考点分析得出(I卷是最重要也是最有代表性的 ),题目大致有两类:
第一类是以代数和几何为主线,穿插复杂的计算,这其中不乏需要一些数论或者数字分析的手段才能算出最终的答案的题目;
第二类就是纯粹的数论和组合试题,往往包含了组合数的计算,各种公式和数论分析技巧。

在这些题目之中,我们很少能遇见不需要复杂计算的代数和几何问题,也是很多刚刚晋级AIME的同学们最熟悉最有把握的题目类型,这是大家需要去专门针对AIME进行准备的。
Part 03机构AMC10/12+AIME培训课
机构针对AMC10/12竞赛和AIME竞赛均设置不同基础的培训班型,线上线下同步授课,全国30+线下校区可选择,课程详细咨询(微信同号)

▶课程类型:3-6人小班授课/一对一授课模式
▶授课模式:在线面授均可
▶授课语言:中英双语教学/纯英文授课
▶课程目的:针对重难点科目进行预习和同步学习,补缺补差,难度层层递进,帮助学生举一反三。
▶课程内容:精选主要考核知识模块,配套高频考点强化练习,易错题汇总分析,解决练习不足,缺少技巧性答题的问题。
▶教学方式:精研教材与历年真题库,精准捕捉学生弱项,击破重点难点。

