AMC12是面向青少年的高水平数学测评,成绩优异者可受邀参加 AIME (美国数学邀请挑战),是通往更高层次挑战、展示大学申请学术力的重要台阶。
挑战不允许计算器,75分钟 25题,评分为对6分、空1.5分、错0分。因此,会做稳拿,不会留空,是提分要诀。根据 G5教研部对历年题型的统计,代数与函数占比最高。
以 2024年 A/B卷为例:两卷均有 13/25(约 52%)的代数函数题,且 B卷主要集中在前 1–18题,非常利于“前段抢分 + 中段稳分”的节奏。换言之,想拿高分,关键在于把代数函数板块做稳做透。
为此,G5教研部 Dan单老师基于 2024年最新真题,提炼出代数函数题的四大高频类型:① 对数与指数,② 多项式与根,③ 数列与递推,④ 几何的代数化,并针对每类题型解析起手思路与稳分技巧,帮助同学们高效备考、稳步提升。
『题型一:对数与指数』

G5教研部整合 AMC12真题截图,2024年 B卷
本题核心考点:是对数的基本运算与换底公式(这一点是普遍考生相对薄弱的环节,需专项巩固)。
解题技巧:一见到“(log₂x·log₃x)/(log₂x+log₃x)”这类“乘/和”的典型结构,优先换底,把 log₂x、log₃x 统一写成ln x 的线性式。由换底得log₂x=ln x/ln2、log₃x=ln x/ln3,代入后约去公共因子并化简,得到ln x=2(ln2+ln3)=2 ln6=ln36,回代得 x=36;
G5教研部整合题型一正确解答过程
易错点:最常见的错误是将ln2 + ln3误写为ln5,这是错误地使用了‘对数相加等于真数相加’的错误法则 (实际应为ln a + ln b = ln(ab));Dan老师提醒各位考生注意,识别到这种对数“乘/和”结构时,先换底,再化简,全程保持等价变形,若一时想不起换底法,果断跳过,避免在分式代数上耗时过多,影响整卷节奏。
『题型2:多项式与根』

G5教研部整合 AMC12真题截图,2024年 A卷
本题核心考点:是多项式与根的关系,以及值代法的配套使用。
解题技巧:看到“p2+ a2” 这类“平方和”的乘积时,先配成(p + ai)(p − ai),如此,不用求根也能直接“带值进多项式”求解目标对象。

G5教研部整合题型二正确解答过程
易错点:一是考生复数代入时,i2=−1, i3=−i,考生极容易算错符号;二是考生以为必须先求出三个根,再做目标运算,既慢又容易算错;Dan老师提醒各位考生看见这类“(p2+ a2)(q2+ a2)(r2+ a2)”题目,优先识别通用模版“p2+ a2=(p + ai)(p − ai)”,整理后,再将特别的自变量值代入原函数求解。
『题型三:数列与递推』

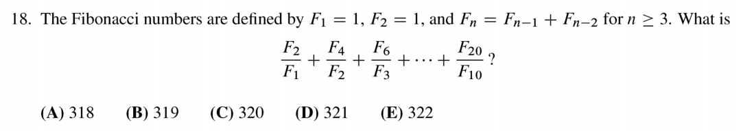
G5教研部整合 AMC12真题截图,2024年B卷
核心考点:本题聚焦于斐波那契数列的恒等变形与分块求和,别逐项代数,更不要用通项。
解题技巧:先把“F2k/ Fk”的分式化成“Fk-1 +Fk+1”,再把整题拆成两段简单的斐波那契求和,避免逐项代值或使用繁琐的通项公式。
G5教研部整合题型三正确解答过程
易错点:一是考生直接代数或套通项,计算量大、而且易出错;二是考生易把“前一项 + 后一项”误当成“中间项的两倍”;三是套用前 n 项求和时,下标错位,尤其忘了第 0 项是 0,导致最后多减或少减 1,丢分十分可惜。G5教研部建议此题型考生需注意见到“F2k/ Fk”的形状,先用恒等式把每项变成“Fk-1+Fk+1”,再用“前 n 项之和 = 后移两位减 1”的计算口诀收尾,即可快速稳拿分。
『题型四:几何的代数化』

G5教研部整合 AMC12真题截图,2024年B卷
核心考点:是二元二次式的配方法与几何化思维:把表达式配成圆的标准形,那么最小值将出现在平方项为零的位置。
解题技巧:先把两式相加再一次性配方,而不是分别求h与k的最小值。
G5教研部整合题型四正确解答过程
易错点:一是考生习惯于对每个式子各自配方,导致系数翻倍与常数项处理混乱,最终常数项算错;二是考生完成平方时漏加或者漏减对常数的修正。G5教研部Dan老师认为对考生而言,最稳妥的做法是,一眼识别“两式同形、问和的最小值”,立刻相加→配平方→读出常数项,则可以稳拿分数。
『经验分享』
AMC12题目灵活多变,同一道题往往可以从不同角度切入,最常见的是在代数与几何之间来回转换。G5教研部 Dan老师在日常演练中,每节精选1–2道“可多解”题,明确要求学生用至少两种方法完成,并讨论哪一种方法更机构。把“一题多解”做成特别训练,有三个直接收益:一是打破“只会一种套路就卡死”的局面,二是让学生在方法之间切换、择优,形成真正的策略感,三是把思维弹性转化为考场上的时间优势与稳定度。一题多解,不是为了“花哨”,而是为了“稳、快、准”。当学生真正掌握“起手有选项、过程会切换、收尾够规范”的能力,AMC12的变化就在可控范围内;题目再怎么变,方法不乱,节奏不乱,分数自然就稳了。
『结语』
AMC12的价值不止在于分数,它还锻炼同学们的数学思维、时间管理,也是迈向 AIME的关键一步。G5教研部提醒各位考生备考切忌死记硬背,应以“方法型训练”为主:聚焦核心题型,做结构识别与起手定式,用真题打磨中段稳分,严格执行会做快做、不会留空的节奏,并持续复盘易错与通用模板,把解题变成可复制的流程。祝UIA学子用这“三板斧”把分拿稳、把分拿值,在今年的 AMC数学挑战中取得佳绩。

