剑桥大学27fall的申请时间线+最新入学要求都已经更新,具体内容如下:
01
剑桥2027entry
申请时间线
关键日期:
2026年4月28日
剑桥大学专业上线UCAS,可搜索相关专业。
2026年5月12日
UCAS申请通道开启,可准备申请材料,但要在9月份才能提交。
2026年6月23日
学习医学或研究生医学,可预约UCAT入学考试。
2026年7月13日
UCAT入学考试开始。
2026年9月1日起
从此日期起提交剑桥大学的UCAS申请。确保在相关截止日期前提交申请。
2026年9月10日
申请UCAT入学考试入学安排的截止日期。
2026年9月24日
参加UCAT入学考试的截止日期。
2026年10月15日
提交UCAS申请截止日期(英国时间下午6点)。
如果你是成人学生(年龄21+),可以在一月份申请成人学院的部分课程。
2026年10月22日
提交“My Cambridge Application”截止日期(英国时间下午6点)。这是申请剑桥大学的一份额外的申请表。
如果你申请的是医学研究生课程,则不需要填写“My Cambridge Application”。
这也是提交成绩单的截止日期。适用于国际申请者,但根据其他申请者的资历,也可能适用。获得成绩单可能需要数周时间,因此建议尽早申请。
2026年11月
如果你被录取,申请的学院会邀请你参加面试。大多数面试邀请函会在十一月寄出,但有些可能会在十二月初寄出。
2026年12月
大多数学院面试都在十二月的前三周进行。
2027年1月
你申请的学院可能对你的申请印象深刻,但没有合适的位置。如果发生这种情况,他们可能会将你的申请分享给其他学院以供考虑。
2027年1月13日
大部分英国大学本科专业申请的截止日期。(英国时间下午6点)。
2027年1月20日
如果你在一月截止日期前申请,针对成人学生,提交“My Cambridge Application”截止日期(英国时间下午6点)。
2027年1月27日
剑桥大学公布申请结果的日期。
2027年3月至4月
在一月轮次申请成人学院的学生将接受面试。
2027年5月至6月
如果你申请了数学,需要参加STEP
2027年8月
考试成绩会公布。剑桥大学将对申请做出最终决定。
上下滑动查看

2027entry剑桥大学申请时间线
笔试时间
笔试调整:
申请剑桥数学专业,需要在2026年9月/10月参加TMUA考试,而STEP考试也不会取消,会作为拿到预录取之后的条件考试继续保留。
剑桥哪些专业需要参加入学笔试:

专业调整
土地经济专业改名为环境、法律与经济:
剑桥大学宣布,土地经济专业将在2027/28学年正式改名为环境、法律与经济,课程设置、申请流程等其他内容都保持不变。
新增语言学与现代语言专业:
学制4年,课程融合了语言学、现代语言与中世纪语言的核心内容。
入学要求
学术成绩
A-Level:A*AA-A*A*A
IB:41-42(HL数学需7分以上)
语言要求
雅思7.5(小分7分)
托福110(小分25分)
注:2026年1月起托福网络考试和家庭版的变更将不再适用于剑桥大学入学
01
手握3A*只是达标?
剑桥录取真相曝光
剑桥作为世界一流的名校,对学术要求最为严格。
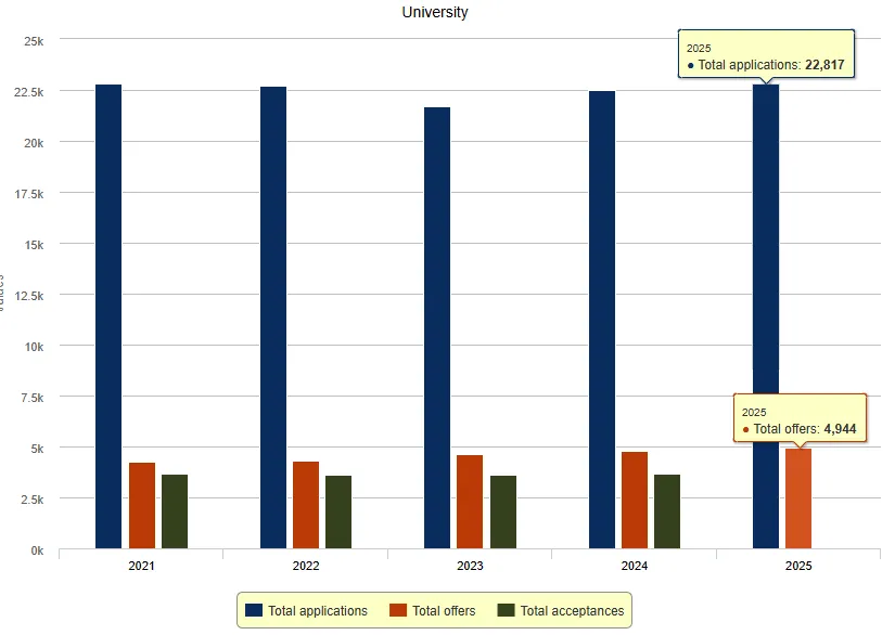
在剑桥大学的申请中,有94.4%的录取者成绩达到了A*AA及以上,有5,022名申请人尽管获得了A*AA以上的成绩,却依然没有被剑桥录取。

来源:剑桥
所以申请时,3A*基本成为剑桥“标配”!
然而,这样的 “标配” 也仅仅是踏入门槛的基础。近年来,剑桥的申请与选拔标准正在持续升级。
剑桥所有学院的数学方向均新增TMUA考试,这一调整并非简单更换考试科目,而是英国顶尖高校对人才选拔标准的系统性升级。
与此同时,面试考核也愈发严谨。尤其在数学专业,面试官更看重解题逻辑与表达能力,会深度追问推导过程与依据,部分学院还延长了线下面试时间,全方位考察学生的学术潜力。
文书与推荐信同样拒绝空话套话:推荐信要求具体、可量化,文书则需在有限篇幅内精炼内容,突出真实经历与深度思考。

图源:剑桥大学近五年申录概况
面对日益激烈的申请竞争,如何才能提前布局、脱颖而出?
剑桥大学官方为申请者提供了一条优质路径——Clarkson 数学夏校。
这是由剑桥官方全额资助、费用全免,且选拔门槛极高的高含金量数学夏校。
参与其中,不仅能充分展现学术能力、思维深度、跨文化适应力与探索精神,更是当下牛剑招生官高度认可的核心背景经历。
